TiPSS

Tilted Plate Separation Systems

Veolia Water Technologies offers a range of equipment especially designed for (pre-) treatment of Oily Waste Waters either for Upstream or Downstream Oil & Gas applications.

Overview

 

The separation of contaminants (oil, gas, solids or combinations) is gravity driven based on particle size and density differences between various components.

Veolia MPP Systems a dedicated Oil & Gas Industry service and solutions provider has extensive experience in designing, engineering, document control and fabrication according to the Oil & Gas Industry standards. Based on standard range of equipment we can customize any unit to the client specifications.

TiPSS stands for Tilted Plate Separator System. This means oil water separation based on tilted plate packs (lamellar set plates) in order to increase the separation surface.

 

HISTORY

In the 1950's API (American Petroleum Institute) separators were the standard solution for oil water separation. To enhance separation the use of corrugated plates was developed by a collaboration between Dutch Royal Shell and Rossmark formally known as Pielkenrood Vinitex B.V. (Assendelft). In the year 2012 Rossmark changed their name to Veolia. Today Veolia corrugated plate separators (CPS) are used all over the world.

 

 

PRODUCT & SERVICES

All Tilted Plate Separation Systems (TiPSS™) use plate sets (Lamellar plate packs) in order to increase the separation surface.

TiPSS™ Corrugated Plate Interceptors (CPI) or Corrugated Plate Separators (CPS) equipment is characterized by its reliability, simplicity, minimal maintenance and operating costs along with flexibility in operation.

The TiPSS portfolio holds 4 basic types of separators, each developed for specific applications.

 

WORKING AT VEOLIA
People are our most important asset and their diversity in culture, experience and skills is the key to our success.
MPP & TiPSS technologies is part of Veolia Water Technologies subsidiary of Veolia, the world leader in environmental services. With operations on every continent and more than 170,000 employees, we provide customized solutions to meet the needs of municipal and industrial customers in three complementary business activities:

  • water management and technologies
  • environmental services (collection, management, treatment and recycling of waste)
  • energy management

 

Working at MPP & TiPSS technologies is working at a technologically, innovative, market driven company in water treatment. It is part of the global Oil and Gas division of Veolia. The company operates worldwide in onshore and offshore industries such as Oil & gas, Petrochemicals, Pharma and Chemical located in the Netherlands, Germany, France, Italy, Norway, USA and Australia. MPP & TiPSS Technologies designs, manufactures, sells, installs, and maintain water treatment plants.

The organization consists of 15 employees. Collaboration, commitment and communication are of great importance for achieving the challenging goals.

 

MARKETS

Veolia TiPSS Technologies a dedicated Oil & Gas service and solutions provider has extensive experience in quality assurance and quality control, designing, engineering, document control and fabrication according the Oil & Gas industry standards. Based on standard range of equipment we can customize any unit to client specifications and requirements.

 

  • TANK FARMS
    At tank terminals a wide variety of liquid bulk products are stored. Those products are classified in four groups: oil products, chemicals and LPG, biofuels and vegetable oils, and LNG. Examples of terminal services are blending two products, mixing additives into a product, applying a nitrogen blanket on top of a product to push out oxygen, heating or cooling products and loading or unloading ships, railcars and trucks.
    • Ballast water
    • Run-off surface water
    • Oil leakage water

 

  • REFINERY
    Refineries processes and refines crude oil by crude distillers into gasoline, diesel fuel, basic oil, lubricants, kerosene, LPG and fuel. Chemical part of the plant process solvents
    • Run-off surface water
    • Waste water effluent streams
    • In-process flows
    • Produced water (on and offshore)

 

  • PETROCHEMICAL
    Petrochemical plants produce products out of naphtha, hydro wax, LPG and gasoil mostly basic chemicals, ethane, butadiene, propene, ethane oxide, ethane glycol, propene oxide and styrene monomer. These products are used in mass production consumer products.
    • Run-off surface water
    • Wastewater effluent streams

 

  • AIRPORT
    Managing stormwater from airports is critical to their operation. Robust drainage systems lie beneath the airfield and are designed to minimize standing water. Up to now, the focus has been on flood prevention. This is likely to change for some airports when the Environmental Protection Agency (EPA) rules are applicable that regulates deicing activities. The rule is designed to limit the discharge of oil and other pollutants from the airport. Hence changes will be needed. This is the part where Veolia TiPSS below ground CPI oil/water separators can solve the oil contamination problems for clients and help to comply to the EPA rules.
    • Run-off surface water
    • Oil leakage water

Applications

PRINCIPLE OF SEPARATION BY GRAVITY

 

 

 

 

 

Separation by gravity utilizes the density difference between two phases (liquid-liquid or liquid-solid). E.g. a globule of one phase (oil) suspended in the heavier other phase (water) will attain a constant rising velocity when the resistance to motion offered by the other phase is equal to the rising force created by the density difference. Important considerations for a separator using this principle are:

  • The distance through which the globules travels before reaching the surface or bottom of the corrugated plate
  • The rate at which the globule rises or settles
  • Particle size
  • Density difference
  • Viscosity


 

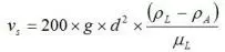
The theoretically foundation for this separation is Stokes Law (1845)

For efficient operation, the vertical distance to be covered by the globules should be made as short as possible, and the rising velocity should be increased by agglomerating the small globules thus creating larger, faster rising globules.

Any break-up of these globules by even slight, local, or general turbulence, will reduce the efficiency of the separator. Consequently, the flow through the unit and in the upstream piping system should be with minimized turbulence. By using corrugated, parallel mounted plates inclined at 45° or 60°, the separator optimises the conditions of short vertical travel under stable streamlined flow and maximum separating surface area. The plates are used in "counter current" mode.

The water phase flows top-down through the inclined plate pack module. The lighter oil droplets rise to the higher plate and slide up, in counter flow with the water phase, towards the float layer above the plate pack. The heavier particles sink to the lower plate and slide along that plate to the bottom of the CPI unit.
 

 

DIFFERENT SEPARATION METHODS

For different applications separation can result in two, three or four phase.

  • 2 Phase; Oil and water
  • 3 Phase; Oil, solids and water
  • 4 Phase; Oil, solids, gas and water

 

The Tilted Plate Separator Systems product line holds more separation principles.

 

Counter current flow

  • TPI Tilted plate interceptor (Flat plates)
  • CPI Corrugated plate interceptor (Corrugated plates)
  • DAG DGF Dissolved Air Flotation

 

Cross flow

  • cfCPI Cross Flow Corrugated Plate Interceptor
  • pCPI Pressurized Corrugated Plate Interceptor